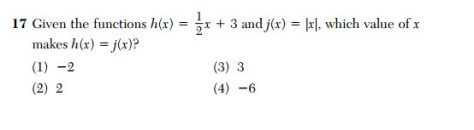
From the January 2016 Common Core Algebra I Regents
Notice we are looking for the x value — similar to #1 on this very same Regents!!
https://mathconfidence.com/2016/05/02/get-the-math-and-get-the-points-notice-x/
Input both equations into Y=…absolute value is found either under Math, Number or in the catalog which can be found by doing 2nd zero
For answer choice (1), when x = -2 both Y1 and Y2 are the same :)
For answer choice (2), when x = 2, Y1 = 4 while Y2 = 2
For answer choice (3), when x = 3, Y1 = 4.5 while Y2 = 3
For answer choice (4), when x = -6, here’s another snapshot with the table arrowed up to more negative numbers:

when x = -6, Y1 = 0 while Y2 = 6.




