
Domain are x values while Range are y values.
When x = 0, how much is x^2?
When x = 1, how much is x^2?
When x = 4, how much is x^2?
When x = 9, how much is x^2?

Domain are x values while Range are y values.
When x = 0, how much is x^2?
When x = 1, how much is x^2?
When x = 4, how much is x^2?
When x = 9, how much is x^2?

This question is asking:
When x = -3, what is the y value?
Look at the graph above and the mark in blue — what is the y value at that point?

This question can be done with or without the TI-84.
Notice in answer (1) that -8 x -8 will give +64 which does not match the trinomial
Notice in answer (2) that FOIL’s Outer and Inner +8m – 8m which will cancel out the middle term and does not match -12m
In (3) and (4), we are looking for the middle terms that add up to -12m we just have to watch our signs!
That’s it — that’s two points!
To check work with a TI-83/4, put m^2 – 12m -64 into Y1 and then try each of the others into Y2.
Check the graph and the tables…when you find the match, that is David’s correct factoring!
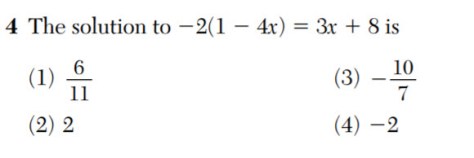
The January 2019 Regents is less than a month away! Try this one:
A linear model means that there is a constant rate of change so every time x (minutes) changes (in this case, by 1), Heart Rate changes by the same amount. Study all 4 choices and you will find the one that has the linear pattern!
