Math Confidence by Robin the Math Lady
Search
Primary Menu
Skip to content
About Robin the Math Lady
Tutor
Writings/Newsletter
Coach/Mentor
Events
Workshops
SAT Challenge at Any Age
Contact Robin
Search for:
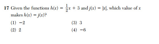
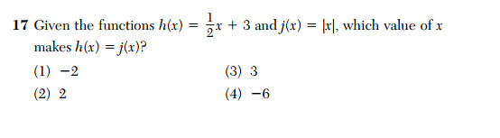
Jan 2016 Alg I 17
May 14, 2016
554 × 153
Jan 2016 Alg I 17
Leave a comment
Cancel reply
Δ
Build Math Confidence!
Comment
Subscribe
Subscribed
Math Confidence by Robin the Math Lady
Join 34 other subscribers
Sign me up
Already have a WordPress.com account?
Log in now.
Math Confidence by Robin the Math Lady
Subscribe
Subscribed
Sign up
Log in
Copy shortlink
Report this content
View post in Reader
Manage subscriptions
Collapse this bar