Math Confidence by Robin the Math Lady
Search
Primary Menu
Skip to content
About Robin the Math Lady
Tutor
Writings/Newsletter
Coach/Mentor
Events
Workshops
SAT Challenge at Any Age
Contact Robin
Search for:
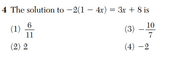
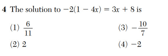
August 2018 CC Alg I 4
December 26, 2018
580 × 194
August 2018 CC Alg I 4
Leave a comment
Cancel reply
Δ
Build Math Confidence!
Comment
Subscribe
Subscribed
Math Confidence by Robin the Math Lady
Join 33 other subscribers
Sign me up
Already have a WordPress.com account?
Log in now.
Math Confidence by Robin the Math Lady
Subscribe
Subscribed
Sign up
Log in
Copy shortlink
Report this content
View post in Reader
Manage subscriptions
Collapse this bar